OPTIK - Efek Doppler pada GEM (Gelombang Elektromagnetik)
EFEK
DOPPLER PADA
GELOMBANG
ELEKTROMAGNETIK (GEM)
Disusun oleh:
Kelompok 6 / Pendidikan Fisika 5B
Gita Verawati
Rhodiatussholihah
Rosita Nur Azmi
Efek
Doppler pada GEM
Terdapat
efek Doppler untuk gelombang elektromagnetik dalam ruang hampa, seperti
gelombang cahaya atau radio. Dalam kasus ini tidak ada medium yang dapat kita
gunakan sebagai sebuah acuan untuk mengukur kecepatan, dan yang penting adalah
kecepatan relative sumber dan penerima (Young, 2002: 74).
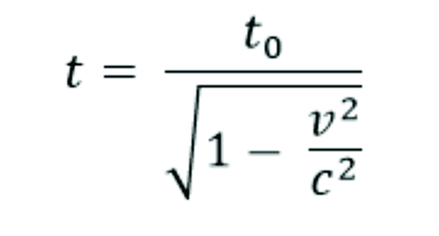
Untuk menurunkan
pernyataan mengenai pergeseran frekuensi Doppler pada cahaya, kita harus menggunakan
teori relativitas khusus, yaitu:
Yang
mana setelah diturunkan akan menghasilkan rumus baru. Laju gelombang itu adalah
laju cahaya, biasanya dinyatakan oleh c,
dan laju itu sama untuk kedua sumber dan penerima. Dalam kerangka acuan ketika
penerima itu diam, sumber itu bergerak menjauhi penerima dengan kecepatan v (Jika sumber mendekati penerima, v adalah negatif). Frekuensi sumber
adalah fs, frekuensi fr yang diukur oleh penerima R akan
diberikan oleh persamaan:
Persamaan
ini adalah persamaan dari efek Doppler untuk cahaya sebagai gelombang
elektromagnetik, setelah melalui proses penurunan dari salah satu teori
persamaan relativitas khusus.
Aplikasi efek Doppler
yang sudah banyak dikenal adalah alat radar yang dinaikkan pada jendela samping
sebuah mobil polisi untuk memeriksa laju mobil lainnya. Gelombang
elektromagnetik yang dipancarkan oleh alat itu direfleksikan dari sebuah mobil
yang bergerak, yang bertindak sebagai sumber yang bergerak, dan gelombang yang
direfleksikan kembali ke alat itu mempunyai frekuensi yang mengalami pergeseran
Doppler. Sinyal yang ditransmisikan dan sinyal yang direfleksikan digabungkan
untuk menghasilkan layangan, dan laju mobil itu dapat dihitung dari frekuensi
layangan. Cara yang serupa digunakkan untuk mengukur kecepatan angin dalam
atmosfer.
Efek
Doppler untuk gelombang elektromagnetik, termasuk cahaya tampak, penting dalam
astronomi. Para ahli perbintangan membandingkan panjang gelombang cahaya dari
bintang yang jauh dengan panjang gelombang yang dipancarkan oleh elmen yang
sama di bumi. Dalam sistem bintang kembar, dimana dua bintang mengorbit mengelilingi
pusat massa bersamanya, cahaya digeserkan oleh efek Doppler ke frekuensi yang
lebih tinggi bila sebuah bintang bergerak menuju seorang pengamat di bumi dan
digeserkan ke frekuensi yang lebih rendah bila bintang itu bergerak menjauhi pengamat
di bumi. Pengukuran pergeseran frekuensi itu mengungkapkan informasi bentuk
orbit dan massa bintang yang membentuk sistem kembar tersebut.
DAFTAR PUSTAKA
Young, hugh D. 2002.
Fisika Universitas Jilid 1. Jakarta: Erlangga .



Komentar
Posting Komentar